Two Pointers Exercise 2
680. Valid Palindrome II
难度简单487
Given a string s, return true if the s can be palindrome after deleting at most one character from it.
Example 1:
Input: s = "aba"
Output: true
Example 2:
Input: s = "abca"
Output: true
Explanation: You could delete the character 'c'.
Example 3:
Input: s = "abc"
Output: false
Constraints:
1 <= s.length <= 105sconsists of lowercase English letters.
思路:
- 回文数常见的思路就是双指针
- 用我原来的,”cupuuuupucu”有可能会不知道删头还是尾,不能 elif,都要试

125. Valid Palindrome
难度简单517
A phrase is a palindrome if, after converting all uppercase letters into lowercase letters and removing all non-alphanumeric characters, it reads the same forward and backward. Alphanumeric characters include letters and numbers.
Given a string s, return true if it is a palindrome, or false otherwise.
Example 1:
Input: s = "A man, a plan, a canal: Panama"
Output: true
Explanation: "amanaplanacanalpanama" is a palindrome.
Example 2:
Input: s = "race a car"
Output: false
Explanation: "raceacar" is not a palindrome.
Example 3:
Input: s = " "
Output: true
Explanation: s is an empty string "" after removing non-alphanumeric characters.
Since an empty string reads the same forward and backward, it is a palindrome.
Constraints:
1 <= s.length <= 2 * 105sconsists only of printable ASCII characters.
思路:
- 使用.isalnum()来判断是不是字母或者数字
- 使用.lower()来获取小字母
代码:

时间空间复杂度都是O(n)
如果直接修改原来的s,空间将会变成O(1), 主要就是遇到空格就一直走到没空格,但注意这样的判断也要对front end判断

234. Palindrome Linked List
难度简单1358
Given the head of a singly linked list, return true if it is a palindrome.
Example 1:

Input: head = [1,2,2,1]
Output: true
Example 2:

Input: head = [1,2]
Output: false
Constraints:
- The number of nodes in the list is in the range
[1, 105]. 0 <= Node.val <= 9
Follow up: Could you do it in O(n) time and O(1) space?
思路:
- 把链表的值复制到list中,再赢125中的方法判断是否回文,时间空间复杂度都是O(N)
- 复制链表的值到list是O(n),双指针判断回文是O(n),
- 避免使用 O(n)额外空间的方法就是改变输入。我们可以将链表的后半部分反转(修改链表结构),然后将前半部分和后半部分进行比较。使用快慢指针,快到尾,慢的刚好是中间
-
在并发环境下,函数运行时需要锁定其他线程或进程对链表的访问,因为在函数执行过程中链表会被修改。
- O(1)的第二次复习时在尝试把
代码:

408. Valid Word Abbreviation
难度简单39
A string can be abbreviated by replacing any number of non-adjacent, non-empty substrings with their lengths. The lengths should not have leading zeros.
For example, a string such as "substitution" could be abbreviated as (but not limited to):
"s10n"("s ubstitutio n")"sub4u4"("sub stit u tion")"12"("substitution")"su3i1u2on"("su bst i t u ti on")"substitution"(no substrings replaced)
The following are not valid abbreviations:
"s55n"("s ubsti tutio n", the replaced substrings are adjacent)"s010n"(has leading zeros)"s0ubstitution"(replaces an empty substring)
Given a string word and an abbreviation abbr, return whether the string matches the given abbreviation.
A substring is a contiguous non-empty sequence of characters within a string.
Example 1:
Input: word = "internationalization", abbr = "i12iz4n"
Output: true
Explanation: The word "internationalization" can be abbreviated as "i12iz4n" ("i nternational iz atio n").
Example 2:
Input: word = "apple", abbr = "a2e"
Output: false
Explanation: The word "apple" cannot be abbreviated as "a2e".
Constraints:
1 <= word.length <= 20wordconsists of only lowercase English letters.1 <= abbr.length <= 10abbrconsists of lowercase English letters and digits.- All the integers in
abbrwill fit in a 32-bit integer.
思路:
- 使用双指针的方法,一个给word,一个给abbr
- 如果abbr的指针碰到了数字,先判断是不是0,是0直接false;不是0,不停动abbr的指针,直到不是数字,然后求出这个数值,然后将word的指针加上这个值
- 如果abbr碰到的不是指针,就要判断两个字符是不是相等
- while的终止条件是两个指针有一个走到头,最后出去要判断两个指针是不是都到头了。
代码:

160. Intersection of Two Linked Lists
Easy
8606861Add to ListShare
Given the heads of two singly linked-lists headA and headB, return the node at which the two lists intersect. If the two linked lists have no intersection at all, return null.
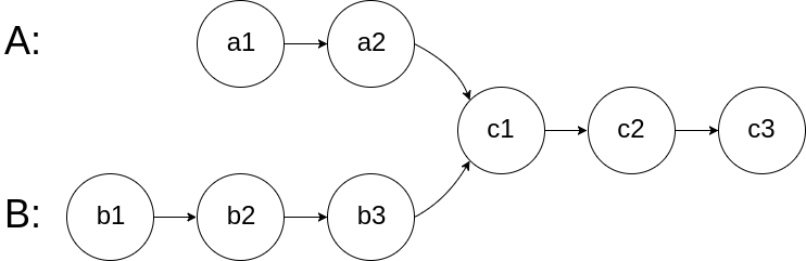
For example, the following two linked lists begin to intersect at node c1:

The test cases are generated such that there are no cycles anywhere in the entire linked structure.
Note that the linked lists must retain their original structure after the function returns.
Custom Judge:
The inputs to the judge are given as follows (your program is not given these inputs):
intersectVal- The value of the node where the intersection occurs. This is0if there is no intersected node.listA- The first linked list.listB- The second linked list.skipA- The number of nodes to skip ahead inlistA(starting from the head) to get to the intersected node.skipB- The number of nodes to skip ahead inlistB(starting from the head) to get to the intersected node.
The judge will then create the linked structure based on these inputs and pass the two heads, headA and headB to your program. If you correctly return the intersected node, then your solution will be accepted.
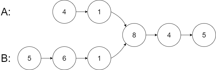
Example 1:

Input: intersectVal = 8, listA = [4,1,8,4,5], listB = [5,6,1,8,4,5], skipA = 2, skipB = 3
Output: Intersected at '8'
Explanation: The intersected node's value is 8 (note that this must not be 0 if the two lists intersect).
From the head of A, it reads as [4,1,8,4,5]. From the head of B, it reads as [5,6,1,8,4,5]. There are 2 nodes before the intersected node in A; There are 3 nodes before the intersected node in B.
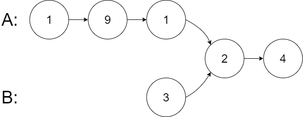
Example 2:

Input: intersectVal = 2, listA = [1,9,1,2,4], listB = [3,2,4], skipA = 3, skipB = 1
Output: Intersected at '2'
Explanation: The intersected node's value is 2 (note that this must not be 0 if the two lists intersect).
From the head of A, it reads as [1,9,1,2,4]. From the head of B, it reads as [3,2,4]. There are 3 nodes before the intersected node in A; There are 1 node before the intersected node in B.
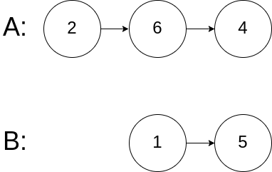
Example 3:

Input: intersectVal = 0, listA = [2,6,4], listB = [1,5], skipA = 3, skipB = 2
Output: No intersection
Explanation: From the head of A, it reads as [2,6,4]. From the head of B, it reads as [1,5]. Since the two lists do not intersect, intersectVal must be 0, while skipA and skipB can be arbitrary values.
Explanation: The two lists do not intersect, so return null.
Constraints:
- The number of nodes of
listAis in them. - The number of nodes of
listBis in then. 1 <= m, n <= 3 * 1041 <= Node.val <= 1050 <= skipA < m0 <= skipB < nintersectValis0iflistAandlistBdo not intersect.intersectVal == listA[skipA] == listB[skipB]iflistAandlistBintersect.
Follow up: Could you write a solution that runs in O(m + n) time and use only O(1) memory?
